Kinematics - Equation Problems - Four Step Method

"Read With Your Pen - Underline what you can

Equation List - Find what fits"


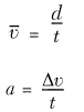
Additional Equation - Average Speed = (V1 + V2)/2 = Δd/Δt

"Hidden" Information

When you see the phrase ...

... it means

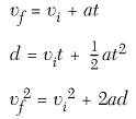
"An object propelled horizontally...' ay =     Viy =  
'An object is dropped…' ay = Viy =
'An object is thrown upward...' ay =        
Object reaches its maximum altitude
OR … reaches its peak
ay =       Vfy =
'the object starts from rest' Vi =  

1. A car initially traveling at a speed of 16 meters per second accelerates uniformly to a speed of 20. meters per second over a distance of 36 meters. What is the magnitude of the car’s acceleration?
Equation                                                Substitution with units                                                  Answer with units
 

 

2. The speed of a car is increased uniformly from 20. meters per second to 30. meters per second in 4.0 seconds. The magnitude of the car’s average acceleration in this 4.0-second interval is
Equation                                                Substitution with units                                                  Answer with units

 

3. A skater increases her speed uniformly from 2.0 meters per second to 7.0 meters per second over a distance of 12 meters. The magnitude of her acceleration as she travels this 12 meters is
Equation                                                Substitution with units                                                  Answer with units




4.
A ball dropped from rest falls freely until it hits the ground with a speed of 20 meters per second. The time during which the ball is in free fall is approximately
Equation                                                Substitution with units                                                  Answer with units

 


5
In a 4.0-kilometer race, a runner completes the first kilometer in 5.9 minutes, the second kilometer in 6.2 minutes, the third kilometer in 6.3 minutes, and the final kilometer in 6.0 minutes. The average speed of the runner for the race is approximately
Equation                                                Substitution with units                                                  Answer with units

 

6 A golf ball is hit with an initial velocity of 15 meters per second at an angle of 35 degrees above the horizontal. What is the vertical component of the golf ball’s initial velocity?
Equation                                                Substitution with units                                                  Answer with units
 

 

7. A car travels 90. meters due north in 15 seconds. Then the car turns around and travels 40. meters due south in 5.0 seconds. What is the magnitude of the average velocity of the car during this 20.-second interval?
Equation                                                Substitution with units                                                  Answer with units

 

8. An object with an initial speed of 4.0 meters per second accelerates uniformly at 2.0 m/s2 in the direction of its motion for a distance of 5.0 meters. What is the final speed of the object?
Equation                                                Substitution with units                                                  Answer with units

 

9.  After a model rocket reached its maximum height, it then took 5.0 seconds to return to the launch site. What is the approximate maximum height reached by the rocket? [Neglect air resistance.]
Equation                                                Substitution with units                                                  Answer with units

 

10. A basketball player jumped straight up to grab a rebound. If she was in the air for 0.80 second, how high did she jump? Equation                                                Substitution with units                                                  Answer with units